InsightNexus.

Your Trusted Source for News, Information, and Insights

politics

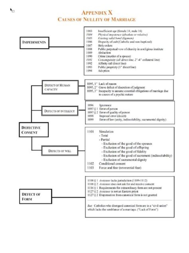
Can i remarry after nullity of marriage?

By Mia Fernandez

The procedures for an annulment are the same as for a divorce action except that a final judgement and decree can be granted thirty days after the opposing party has been served. After a court issues a final judgement and decree, you can remarry. Legally, it will be as if you were never married to your current spouse.

Can I marry again after nullity of marriage?

Article 40 of the Family Code xxx requires a prior judicial declaration of nullity of a previous marriage before a party may remarry. ... Hence, your marriage is void ab initio or is considered as having never to have taken place.

Is annulment of marriage the same with declaration of nullity of marriage?

Yes. A declaration of nullity of marriage applies to marriages which are void. ... On the other hand, Annulment applies to a marriage that is valid until otherwise declared by the court annulled.

How long does a nullity of marriage take?

A declaration of nullity of marriage may be finished from 10 months or several years depending on various factors like the complexity of the case (e.g. properties and custody, support are heavily contested), availability of the court, witnesses and documentary evidence, and also the place where the petition will be ...

How soon can I remarry after an annulment?

There is a minimum statutory six-month waiting period before you can remarry in the state of California.

Annulment vs. Declaration of Nullity of Marriage vs. Legal Separation: What's the Difference?

33 related questions found

Can you annul a marriage after 3 years?

And unlike divorce, a marriage can be annulled any time after the wedding ceremony with a maximum time limit of three years. ... Once an annulment has been granted, you are treated as if you have never been married which is completely different to a divorce because in the eyes of the law, the latter will be recorded.

What qualifies for annulment?

You must be the innocent spouse in the marriage.

To qualify for an annulment, you must be the innocent spouse in the marriage. Most states do not allow the wrongdoer to be the plaintiff in this type of case. If you marry someone who uses a false identity, they cannot file for an annulment.

Does long separation automatically nullify marriage?

Due to the long process involved in filing for petition of annulment, both parties may assume that long separation is enough to nullify marriage. In fact, there are presumptions that when married parties do not see each other for more than seven years, it will automatically nullify your marriage.

Who can file a petition for nullity of marriage?

Under Section 18 of the Indian Divorce Act, 1869, any husband or wife can move to the District Court or to the High Court by filing a petition that his or her marriage may be declared as null and void. Section 19 of the act provides for the grounds for passing such a decree of nullity of the marriage.

How do you void your marriage?

A void marriage refers to a marriage that is invalid from the time it occurred.
...
All states consider the following marriages to be voidable:
  1. Marriage by fraud;
  2. Marriage by proxy;
  3. Marriage by duress; and.
  4. Marriage in which at least one spouse is mentally incapacitated.

Can I file nullity of marriage?

GTALAW: Although your marriage was void from beginning, the law still requires you to obtain a declaration of absolute nullity of your marriage by filing a petition in court. Yes, you can also file a criminal case for Bigamy against your husband.

Where do I file marriage nullity?

Procedure to Obtaining Decree of Nullity of Marriage

The petition should be presented before the court (Concerned courts under different personal laws: Under the Hindu Marriage Act, 1955 and Special Marriage Act, 1954 Family court or city civil court decides the matter.

What does nullity granted mean?

Decree of nullity can be granted by Family Court in certain circumstances. The Family Court can find grounds for a decree of nullity, which is an order saying there was no legal marriage between the parties even if a marriage ceremony took place, on the following grounds: ... Either party was not of a legal age to marry.

What are the consequences of a void marriage?

The consequences of void marriage are: The parties don't have the position of husband and wife in a void marriage. Childrens are called legitimate in a void marriage (Section 16 of Hindu Marriage Act, 1955). Mutual rights and obligations are not present in a void marriage.

Can a woman remarry without divorce?

No, it is illegal. Under Section 494 of the Indian Penal Code, if a person marries a second time, without a divorce, while their spouse is alive, the marriage is considered bigamy, which is a punishable offense.

What is it called when a marriage is Cancelled?

A decree of nullity giving rise to an annulment of marriage is an order of the court which says that there is no legal marriage between the parties.

When can a marriage be voidable?

A marriage made without the voluntary consent of one of the parties is generally considered voidable. Moreover, a person who is so intoxicated at the time of marriage as to be incapable of understanding the nature of the marital contract lacks the capacity to consent, and such a marriage is voidable.

What are the grounds for a voidable marriage?

A marriage may be voidable on the ground that either party to the marriage did not validly consent to it whether because of duress, mistake, unsoundness of mind or otherwise. Both parties must voluntarily give their consent to enable a valid marriage to take place.

How do you get marriage null and void?

A marriage can be held null and void if the respondent was impotent at the time of marriage and at the time of the institution of the suit; or the parties are within the prohibited degrees of consanguinity (whether natural or legal) or affinity; or either party was a lunatic or idiot at the time of the marriage; or the ...

Can I annul my marriage after 10 years?

While a divorce terminates a legal marriage, an annulment means that the marriage never legally existed in the first place. ... Since these marriages were never valid at all, you can usually annul such marriages at any point in time as long as both you and your spouse are living.

What happens if you separate but never divorce?

A court orders a legal separation between a couple, mandating the rights of each spouse during the separation even though they are still legally married. For example, a court can decide on child support, visitation, alimony, or property division.

When Can marriage be considered null and void?

A marriage can be declared null and void if certain legal requirements were not met at the time of the marriage. If these legal requirements were not met then the marriage is considered to have never existed in the eyes of the law. This process is called annulment.

Do you need both signatures for an annulment?

You don't need the agreement of both parties for an annulment to happen, but you do need persuasive evidence to prove to the courts why your marriage should be declared null and void. ... A dedicated family lawyer can confirm whether you have a case, and if you do, help ensure you receive a positive outcome in the courts.

Why would an annulment be denied?

Reasons for Annulment Denial

In some cases, grounds may include aspects like bigamy, the fact that your partner was already married, coercion, forced marriage, and fraud if you were tricked into marriage. ... Your spouse may argue against your case and you may have no other choice but to receive a no-fault divorce.

What do you mean by nullity of marriage?

A decree of nullity is a declaration by a court that your marriage never existed in the eyes of the law. It means that no valid marriage exists between you and your partner. ... Divorce is a declaration ending a valid marriage. Nullity is a declaration that a valid marriage never existed.

Related Archive

More in politics